ASHRAE 110-2016与EN 14175-3的比较(下)
发布日期:2024-04-11 来源:软旗科技 分类: 技术文章6) 换气效率测试
换气效率测试用流速测量,通风柜内部气体浓度为5 ~ 8 ppm,这个浓度在设备气道轴环处测量。当达到稳态浓度时,关闭气体。浓度/时间数据被记录,直到室内通风柜SF6浓度达到稳态值的20% ~ (1 - 2ppm)。

在靠近气道轴环处的排气口SF6浓度测试
接下来,求解实际的污染物变化率,λ,使用这个等式:[In Ci(t=ti)-In Cf(t-tf)]/△T = λ

在换气效率测试期间,6英尺Saf T Flow通风柜的浓度与时间的关系
然后,将效率数计算为设备的观察空气变化率和理想空气变化率之比。由于此数字不评估污染物控制,并且与通风柜效率之间的关系不明确,因此本白皮书将不再进一步讨论。
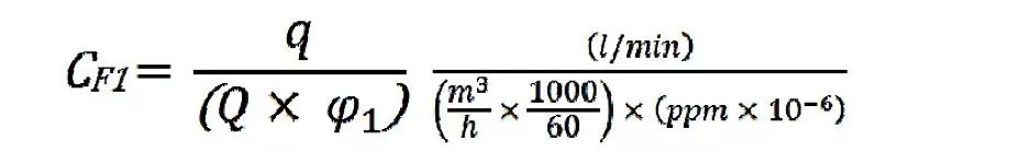
7) 总结
记录上面提到的所有污染物控制测试技术的平均读数,并套到下面的污染物控制系数公式中:

q … 示踪气体释放率(sf6——注意示踪气体释放率只有测试气体释放率的10%,因为混合气体是用90% N2和10%SF6组成的)
Q … 通风柜抽气速率
Φ1 … 平均示踪气体体积分数,四舍五入到小数点后两位
污染物控制因子是无量纲的; 只要使用所有涉及的变量和一致的单位,如图所示,这个规定下的单位都将被抵消。
8) 通过-不通过EN 14175数据等级
EN标准说明无限制值。德国化学工业专业协会,技术委员会化学,2003年7月29日,对测试体积流量的通风柜的安全要求进行了检查和评估,以确定是否符合有效限值。
德国化学工业专业协会(BG Chemie),技术委员会化学,2003年3月29日,根据EN 14175-3:2004的通风柜测试的限值。

注意,德国图表上的数据使用逗号而不是小数点,这是许多欧洲国家的习惯。对于内部测量平面上的测量值,法国NF XPX 15-203给出了每个测量点的平均浓度值的极限值0.1 ppm。
应该指出的是,商业产品的大多数公布的污染物值远低于上面引用的这两个来源中表达的限值。大多数通风橱制造商发布的数据在任何测试期间都没有检测到任何未检测到的示踪气体值。这也是Flow Sciences在此测试中的经验!
9) 施普林格6用计算污染物控制因子的公式表达了几个问题。 请记住,CF越大,污染物控制应该“更好”。 考虑以下:
对于大多数评论者来说,术语“污染物控制因子”意味着一个数字,其数量表示控制程度。 实际上,CF结合了包含的能力和系统使用的排气量。
10) 当获得数据并计算CF时,在现场实际看到了什么? 这是在实际通风橱上使用BS EN 4175第3部分程序的数据表4。
排气率Q在该计算的分母中。 因此,包含因子的等式给出了更大(更好)的数字和更低的排气速率。

你可以看到CF“魔数”5613和3426随处可见,因为SF6的检测为零,但“零”已被仪器检测限0.01 ppm所取代!另请注意非标准使用“>”来区分污染物控制因子中的四个有效数字。
在该表上,下表面风速0.3m / s显示出比0.5m / s更“更好”的污染物控制因子。这个数字已经显示得更高,因为排气量下降而逃逸的SF6仍然无法检测到。 这种异常给人一种误导性的印象,即在较低的面风速下,污染物控制特性得到优化。
Ali Bicen和其他人试图将污染物控制因子分层为如下所示的方案:5


请注意,外部平面污染物控制因子(保护因子)趋势越低,通风橱的面风速(即等级)越低。(1级,2级,3级,最低级别)这种矩形列图方案表明期望更高的面风速将产生更高的污染物控制因子(更大的数量),但正如我们从上面#10的例子中看到的那样,实验和观察 已经证明通常不是这种情况!
Waldner的Steffen Springer使用我在下面重述的分析清楚地说明了污染物控制因子的不适当性,从计算前面定义的因子的公式开始:6

他发表了以下评论:
1)方程的结构非常简单。
2)理论上,结果意味着:因数越高,通风柜的污染物控制性能越高。
3)污染物控制因子的大小取决于三个值: a) 示踪气体的流速 b) 提取通风柜的流速 c) 通风柜内外的平均示踪气体浓度(后者是该等式中唯一与通风柜容纳能力有关的值)。
4) 根据EN14175,CFR应四舍五入到最接近的整数,并且必须“如果结果受到仪器检测限的限制”
5)现在这里有趣!对于q,示踪气体流速始终恒定(在EN 14175中规定)和假定的测量设备的检测限为0.01ppm,唯一剩下的变量是通风柜的排气量,因为没有可检测到的示踪气体逸出。这个结果(CF如前所述计算)是否适合于通风柜围护结构的客观比较?
Springer不认为污染物控制因子适合作为通风橱污染物控制性能的客观指标,除非所有型号在相同条件下进行测试,具有相同的提取体积和相同的测试设备。如果这些变量中只有一个不相同,则会计算出完全相同的通风橱性能的不同污染物控制因子!因此,用户无法根据污染物控制因子来选择污染物控制性能良好的通风柜。
CF的这些问题导致使用EN 14175-3的评估人员根据逃逸的示踪气体(φ)的ppm来评估通风柜,而不是污染物控制因子CF!7
剩下的问题是大多数EN 14175测试显示在上述许多测试中的任何一种测试下没有示踪气体逸出。换句话说,EN 14175在通风柜性能从一种设计到另一种设计之间存在很大的差异。
Andy Sinnamon在领英上回应了这一观点,他说:“(我的公司)不久前经历了这个过程。缺乏人体模型和稀释的示踪气体使得大多数任何通风柜设计几乎都能保证通过。”8
我同意测试在不同面风速下的性能条件差异很大,但我不确定测试能否检测到故障的通风柜,因为我们可能不会看到这样的测试发布。
四、EN 14175的重大问题摘要
1) EN14175设备的复杂性
判断通风柜性能的最准确方法是通过评估“污染物控制”,φ,CF不是一个有用的因素。
由于设备复杂性,EN14175-3污染物控制测试通常仅在设计阶段(在测试实验室中)执行。实际的施工实践已演变为通过简单的“测试”进行现场调试的通风柜,而不是EN 14175 7的一部分。9
在安装的通风柜上进行EN 14175-3测试的唯一情况是,当其他实验室条件产生对通风柜工作的怀疑时。 “例如,当烟雾测试表明在通风柜内有湍流的空气流动时(尽管平均表面风速可以接受),以及从通风柜散发的令人不快的气味的投诉(尽管表面风速测量令人满意)。”10
2) 污染物控制因子CF的含义不明确
通风柜是为了保护人们免受使用废气的危险物质。根据设计和抽取的空气量,任何密封装置都应该能够将危险烟雾保持在内部并保护设备开口前的人。据称EN 14175-3称之为“污染物控制因子”,描述了通风柜如何“有效”。通风柜可以用更少的空气控制污染物,污染物控制性能系数应该越大。
然而,不可检测的逃逸示踪气体水平导致不确定值的因素,这与使用不同检测器的其他情况不可比。因此,如果使用具有不同灵敏度的检测器,则具有相同量的抽取空气和前部相同开口的两个相同的通风柜可具有不同的污染物控制因子。
在烟气控制装置的选择中,操作员的安全性(少量逃逸的烟雾)是最重要的,而不是污染物控制和排气量数据的代数组合。在作者看来,污染物控制评估不应该使用像污染物控制因子这样的混合值来量化通风柜性能。
因此,作者认为EN14175-3中的重点应该是在指定的面风速下检测到的逃逸示踪气体(φ),而不是污染物控制因子(CF)。
剑桥大学指出,“根据EN14175-3进行的型式试验显然符合理想条件。这意味着即使是经常发生的干扰也不会被考虑在内,如果发生任何轻微的干扰,具有适用的极低面风速的通风柜就会爆发。”11
如前所述并由EgbertDittrich指出,除非所有模型在相同条件下进行测试,具有相同的提取体积和相同的检测器设备,否则污染物控制因子不适合作为通风柜污染物控制的客观指示。这些变量中只有一个不相同,会导致不同的污染物控制因子。实际上,污染物控制因子不能使用户根据CF的值选择理想的通风柜。12
3) 无法区分通风柜性能
除非我们能够更好地测量逃逸的示踪气体,否则几乎所有用EN 14175-3测试的通风柜的公布数据都会对所有逃逸的示踪气体测试产生相同的结果。零。(即0.00 PPM)
我的经验是ASHRAE110-2016通常显示可测量的低示踪气体逸出。生成有限读数的能力使开发人员能够在某种程度上调整设计并获得表现出改进性能的数据。12
五、ASHRAE 110-2016和EN14175第3部分比较

作者认为这两项测试都可以改进。 ASHRAE 110-2016测试似乎具有更大的SF6挑战,产生更多可区分的结果,并且是在现场执行的更容易的测试。
EN14175-3测试测量更多潜在的污染物逃逸点。它还具有标准化的稳健性挑战,采用飞行矩形来模拟步行。下表总结了许多这些测试比较。
六、两种标准对品牌竞争的影响
从事国际业务的公司必须准备好测试通风柜的性能,并根据具体情况指定任何污染物控制测试。两种污染物控制测试都有其独特的优点和缺点。
因为测试是如此不同,将一个测试数据转换为其他测试程序的预计读数是愚蠢的。
评论客观性。上图中“ASHRAE 110”方面的数量较多,反映了作者在整个职业生涯中主要使用ASHRAE110-2016测试。它不应被视为“证明”一项测试优于另一项测试。
其他人在商业上致力于一项测试或另一项测试也不应该有偏见。
因此,应该尝试为二十一世纪的实验室建设世界建立一个单一的标准。无论实验室位于何处,这样的标准将有助于在所有竞争者的公平竞争环境中评估污染物控制产品。
七、引用附注
1. Influenceof room air supply on laboratory hoods, October 1982, Knowlton J. Caplan,Gerhard Knutson, American Industrial Hygiene Association Journal
2. ASHRAE110-2016, p. 13.
3. ANSIAIHA Z 9.5 – 2012, section 6.1.2.7, p 79
4. Typetesting of fume hood according to EN 14 175-3:2004, Institut furIndustrieaerodynamik GmbH, Certificate No. 1/FC-Z81/P3/06/13, 2013
5. Instituteof Local Exhaust Ventilation Engineers – Information Day – 17 May 2016,PowerPoint presentation, Melvyn Sargent, Lab Containment Services LTD
6. BSEN 14175-3:2003 Containment Factor deciphered, Steffen Springer, Jan. 2011,PowerPoint presentation.
7. EgbertDittrich, The sustainable Laboratory Handbook, Wiley, 2015
8. FumeHoods, Guidance for Safe Use, University of Cambridge, October2016 https://www.safety.admin.cam.ac.uk/files/hsd029c.pdf
9. Universityof Birmingham Health and Safety Department, Hazardous Substances PolicySchedule 3.8, Supplement 1, https://intranet.birmingham.ac.uk/hr/documents/public/hsu/hsupolicy/hs15/HS38LEVSupplement1.pdf
10. AirChange Measurements Using Tracer cases, Chemistry, Emission Control,Radioactive Pollution and Indoor Air Quality, 2011,David Laussmann and DieterHelm
11. https://www.linkedin.com/in/robert-haugen-22918546/detail/recent-activity/shares/
12. TheFume Hood Product Life Cycle: A Cost of Ownership Analysis Robert K. Haugen,Ph.D., Director of Product and Technology Developmen, Flow Sciences,Inc.10/31/2017


